SUSTech research group makes significant progress in the study of Magnetic Classification Theory
2026-04-23Ambient-pressure Nickelate Superconductors reach new heights
2026-03-13SUSTech Team Reveals Atomic-Scale Mechanism Governing Thermoelectric Transport in Bismuth Telluride
2026-03-06SUSTech team advances the construction of a tunable 2D “Kondo Superlattice”
2026-01-27Researchers make breakthrough in magnetic geometry-induced quantum geometry and nonlinear transport
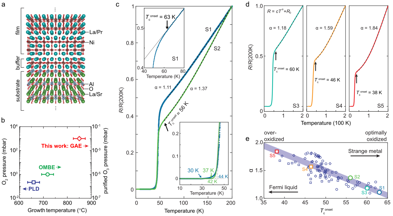
2025-06-06The research team led by Qikun XUE and Zhuoyu CHEN from the State Key Laboratory of Quantum Functional Materials, the Department of Physics at Southern University of Science and Technology (SUSTech), and the Quantum Science Center of Guangdong-Hong Kong-Macao Greater Bay Area (QSC-GBA) has made a breakthrough in the field of ambient-pressure nickelate high-temperature superconductivity. By utilizing and improving their self-developed “Gigantic-Oxidative Atomic-layer-by-layer Epitaxy” (GAE) method, the team synthesized (La,Pr)3Ni2O7/SrLaAlO4 thin films with significantly improved crystalline quality. The research achieved a superconducting onset transition temperature (Tconset) of up to 63 K and a zero-resistance temperature (Tczero) of up to 37 K at ambient pressure. Furthermore, the onset temperature of Meissner diamagnetism was substantially enhanced compared to previous records, with all these metrics establishing new world records for the field. Transport measurements revealed a correlation between high-temperature superconductivity and “strange-metal” linear resistivity behavior in the normal state, while mutual inductance measurements confirmed strong interlayer coupling characteristics that far exceed those of cuprates. These findings were published online in National Science Review under the title “Superconductivity onset above 60 K in ambient-pressure nickelate films.”

Since the discovery of superconductivity over a century ago, the search for materials with higher transition temperatures (Tc) has remained a core objective of condensed matter physics. From early elemental metals to cuprate and iron-based superconductors, every leap in Tc has propelled scientific development and expanded application prospects. Nickelates have garnered significant attention as the third class of high-temperature superconducting systems. While the Tconset of pressurized nickelates has reached 80 K or even 96 K, the Tconset for ambient-pressure nickelate films has been limited to approximately 40-50 K. This performance bottleneck stems from a “thermodynamic dilemma” in synthesis: the hyper-oxygenation state required for superconductivity is fundamentally at odds with the structural stability of the bilayer nickelate crystalline phase. Traditional two-step processes often struggle to balance crystalline quality with ideal oxygen stoichiometry. Overcoming this thermodynamic instability at ambient pressure to reach higher transition temperatures became a critical challenge for the field.
Figure 1. Synthesis and transport properties of nickelate superconducting thin films with Tconset exceeding 60 K and Tczero exceeding 30 K.
The research team successfully opened an extreme non-equilibrium growth window by improving their GAE method. By providing an oxidizing environment approximately 1,000 times stronger than conventional methods and employing growth temperatures roughly 100°C higher than standard techniques, the team effectively resolved the thermodynamic conflict between phase stability and the hyper-oxygenation state required for superconductivity. This allowed for the one-step in situ growth of high-quality superconducting films. The team synthesized high-quality epitaxial (La,Pr)3Ni2O7 films on SrLaAlO4 substrates, achieving a record-breaking Tconset of 63 K and a Tczero of 37 K (Figure 1).
Through statistical analysis of over 90 high-quality samples, the team discovered a direct link between enhanced superconducting performance and “strange-metal” behavior (resistivity varying linearly with temperature) in the normal state. When the films reach an optimal oxidation state, their transport characteristics exhibit typical non-Fermi liquid behavior, directly linking high-temperature superconductivity in nickelates to the physics of strange metals.

Figure 2. Vortex dynamics of nickelate superconducting thin films.
The team utilized mutual inductance techniques to conduct an in-depth study of the system’s vortex dynamics. The results indicate that, unlike highly quasi-two-dimensional cuprates, this nickelate system exhibits strong interlayer coupling and distinct three-dimensional-like superconducting characteristics (Figure 2). This discovery provides crucial experimental evidence for understanding the macroscopic formation mechanism of superconductivity in nickelates. The strength of Meissner diamagnetism was significantly improved with an onset temperature reaching 23 K, far exceeding the previous record of approximately 10 K.

Figure 3. Scanning transmission electron microscopy (STEM) images of nickelate superconducting thin films.
To confirm the improvement in film quality enabled by the GAE method, the team performed detailed microstructural and chemical characterizations. Scanning Transmission Electron Microscopy (STEM) analysis revealed that the films exhibit extremely high phase purity and long-range order over large areas (Figure 3).

Figure 4. X-ray diffraction (XRD) characterization of nickelate superconducting thin films.
High-resolution synchrotron X-Ray Diffraction (XRD) further unveiled the superior single-crystal quality of the films. Clear Laue oscillations were observed, providing definitive evidence of atomically sharp interfaces and highly uniform film thickness (Figure 4). Reciprocal space mapping (RSM) confirmed that the films remain coherently strained to the substrate and maintain tetragonal symmetry.
This study not only sets a new record for ambient-pressure nickelate superconducting transition temperatures but also establishes an ideal experimental platform for exploring the universal laws of high-temperature superconductivity through high-quality thin-film samples. This progress marks the entry of ambient-pressure nickelate research into the “60 K era,” taking a solid step toward achieving ambient-pressure superconductivity at even higher temperatures.
Former SUSTech postdocs Guangdi ZHOU, Associate Researcher at the QSC-GBA; former SUSTech postdoc Heng WANG, Associate Researcher at the QSC-GBA; and former SUSTech research associate professor Haoliang HUANG, Associate Researcher at the QSC-GBA; are the co-first authors of the paper. President of SUSTech and Academician of the Chinese Academy of Sciences, Qikun XUE and SUSTech Associate Professor, Zhuoyu CHEN are the co-corresponding authors.